Páginas
Sitio web: Cálculo21
Funciones
Límites
Cálculo diferencial
Aplicaciones de la derivada
Cálculo integral
Aplicaciones de la integral
Sucesiones y series
Ecuaciones paramétricas, coordenadas polares y secciones cónicas
Cálculo vectorial
Ec. Diferenciales
Álgebra de Baldor
Álgebra lineal
Grupo: Banco de matemáticas
ED_Zill: Solucionario (pdf)
YouTube: 3000 videos sobre matemáticas
jueves, 14 de abril de 2011
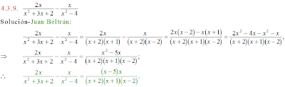
Reducción de fracciones. Allendoerfer 4.3.9
No hay comentarios:
Publicar un comentario
Si te parece interesante, comenta esta entrada
Entrada más reciente
Entrada antigua
Inicio
Suscribirse a:
Enviar comentarios (Atom)
No hay comentarios:
Publicar un comentario
Si te parece interesante, comenta esta entrada