Páginas
Sitio web: Cálculo21
Funciones
Límites
Cálculo diferencial
Aplicaciones de la derivada
Cálculo integral
Aplicaciones de la integral
Sucesiones y series
Ecuaciones paramétricas, coordenadas polares y secciones cónicas
Cálculo vectorial
Ec. Diferenciales
Álgebra de Baldor
Álgebra lineal
Grupo: Banco de matemáticas
ED_Zill: Solucionario (pdf)
YouTube: 3000 videos sobre matemáticas
miércoles, 13 de abril de 2011
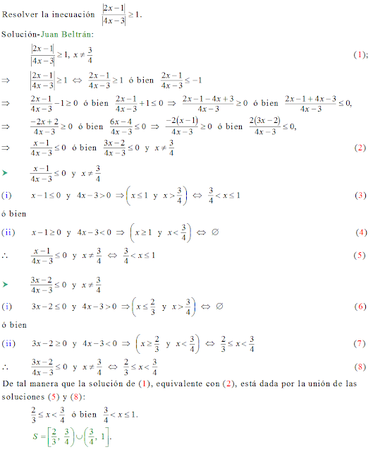
Inecuación fraccionaria con valor absoluto
1 comentario:
Anónimo
30/5/13 1:46 p. m.
:) gracias
Responder
Eliminar
Respuestas
Responder
Añadir comentario
Cargar más...
Si te parece interesante, comenta esta entrada
Entrada más reciente
Entrada antigua
Inicio
Suscribirse a:
Enviar comentarios (Atom)
:) gracias
ResponderEliminar