Páginas
Sitio web: Cálculo21
Funciones
Límites
Cálculo diferencial
Aplicaciones de la derivada
Cálculo integral
Aplicaciones de la integral
Sucesiones y series
Ecuaciones paramétricas, coordenadas polares y secciones cónicas
Cálculo vectorial
Ec. Diferenciales
Álgebra de Baldor
Álgebra lineal
Grupo: Banco de matemáticas
ED_Zill: Solucionario (pdf)
YouTube: 3000 videos sobre matemáticas
lunes, 16 de junio de 2008
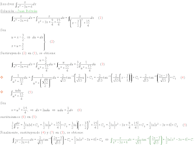
Integral indefinida
Consulta enviada por Felipe:
No hay comentarios:
Publicar un comentario
Si te parece interesante, comenta esta entrada
Entrada más reciente
Entrada antigua
Inicio
Suscribirse a:
Enviar comentarios (Atom)
No hay comentarios:
Publicar un comentario
Si te parece interesante, comenta esta entrada